AB/ABR系列减速机的选用方法
发布日期:2023-12-28 20:13
浏览次数:
mail:china@gelufu.com
如何选用减速机
AB/ABR系列减速机的选用方法
S5周期运转之建议事项
一般的应用惯量须符合以下公式:
JL/i2≤4×Jm
最适当的应用惯量须符合以下公式:
JL/i2=或≈Jm
JL负载惯量
Jm马达惯量
应用端运动模式
1.ED=ta+tc+td/tcycle×100% ,twork= ta+tc+td
下标说明:a.加速c.等速d.减速p.停止(Eq.1)
2.i=或≈nm/nwork
nm马达输出速度
nwork 实际应用速度 (Eq.2)
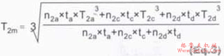
3.

4.T2max=TmB×i×ks×η
ks负载系数
|
ks |
周期次数/小时 |
|
1.0 |
0-1000 |
|
1.1 |
1000-1500 |
|
1.3 |
1500-2000 |
|
1.6 |
2000-3000 |
|
1.8 |
3000-5000 |
TmB 马达最大输出扭矩
η 减速机运转效率(Eq.4)
5.n2a=n2d=n2c/2
n2m=n2a×ta+n2c×tc+n2d×td/ta+tc+td
n2N=n1N/I (Eq.5)
6.
