您好,欢迎进入格鲁夫机械设备制造有限公司官网!
繁體
|
网站地图
|
Tag标签
|
在线留言
|
联系我们
网站首页
Home
关于我们
ABOUT US
关于我们
售后保障
产品中心
PRODUCT
蜗轮减速机
齿轮减速机
丝杆升降机
减速电机
精密减速机
行业专用减速机
联轴器
摆线针轮减速机
技术文章
NEWS
蜗轮减速机
齿轮减速机
摆线针轮减速机
精密减速机
丝杆升降机
行星齿轮减速机
行业专用减速机
联轴器
减速机相关
问题解疑
减速电机
无极变速器
国外及港台减速机
电机
合作案例
CASE
售后服务
service
在线留言
MESSAGE
联系我们
CONTACT US
技术文章
蜗轮减速机
齿轮减速机
摆线针轮减速机
精密减速机
丝杆升降机
行星齿轮减速机
行业专用减速机
联轴器
减速机相关
问题解疑
减速电机
无极变速器
国外及港台减速机
电机
推荐产品
NL10型尼龙齿
LXZ10带制动
LXP16型制动
LZ7弹性柱销齿
联系我们
邮箱:
china@gelufu.com
电话:
0312-6784766
地址:
莲池区焦庄乡
在线咨询
主页
>
技术文章
>
齿轮减速机
齿轮减速机
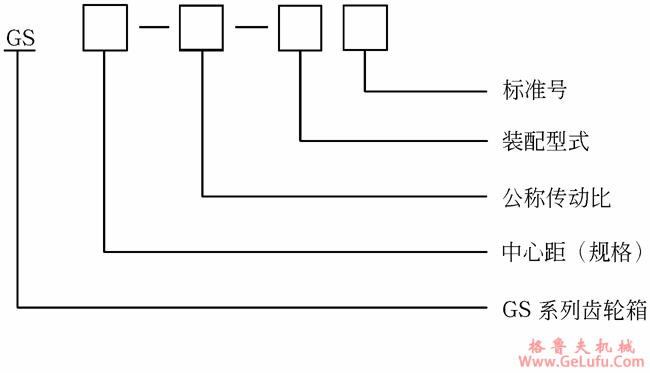
GS高速齿轮减速机和增速机的型号标记
发布日期:2023-12-28 18:47
浏览次数:
QQ:20275456
GS高速齿轮减速器和增速器的型号标记
fax:0312-6784733
格鲁夫机械
格鲁夫
上一篇:GS高速齿轮减速机和增速机的装配型式
下一篇:GS高速齿轮减速机和增速机的基本参数
查看更多 >>
推荐资讯
ZZL型圆锥圆柱齿轮减速机的型号及标记示
ZZL型圆锥圆柱齿轮减速机简介,ZZL型圆锥圆柱齿轮减速机特点,ZZL型圆锥圆柱齿轮减速机参数,ZZL型圆锥圆柱齿轮减速...
SKWU型轴装式锥面包络蜗杆减速机
SKWU型轴装式锥面包络蜗杆减速器简介,SKWU型轴装式锥面包络蜗杆减速器特点,SKWU型轴装式锥面包络蜗杆减速器参数,...
F8000系列行星摆线针轮减速机许用径向
F8000系列行星摆线针轮减速机简介,F8000系列行星摆线针轮减速机特点,F8000系列行星摆线针轮减速机参数,F80...
FZLY型圆柱齿轮减速机的工作机械载荷分
FZLY型圆柱齿轮减速机ZBJ19004-88简介,FZLY型圆柱齿轮减速机ZBJ19004-88特点,FZLY型圆柱齿...